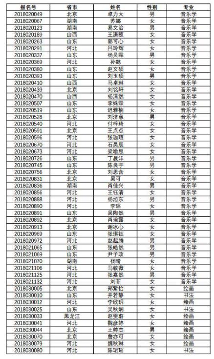
按照教育部要求,现对北京语言大学2018年艺术类专业合格名单、认定原则和分省计划进行公示。考生个人成绩请登录报名网站http://222.28.94.65/a/logint查询。公示期七天,如有异议请在公示期内联系。
2018北京语言大学合格人名单




各省美术高考分站 按照教育部要求,现对北京语言大学2018年艺术类专业合格名单、认定原则和分省计划进行公示。考生个人成绩请登录报名网站http://222.28.94.65/a/logint查询。公示期七天,如有异议请在公示期内联系。
2018北京语言大学合格人名单




扫码关注美考官微,获取各省统考信息
美术生的报考神器:美考网—美术高考报考指南
← 输入专业分,测测你想上的学校,需要多少文化分?
← 实时发布最新的艺考资讯,解读艺考最新政策、招生简章、录取规则。
← 解答在艺考中遇到的实际问题,全程提供艺考报考最佳方案。
免责声明
美考头条
全国艺术专业院校人气指数排名