
资讯
报考
查询
资料
独家
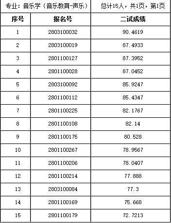
各省美术高考分站2018年中央民族大学音乐学(音乐教育)专业校考合格名单

扫码关注美考官微,获取各省统考信息
美术生的报考神器:美考网—美术高考报考指南
← 输入专业分,测测你想上的学校,需要多少文化分?
← 实时发布最新的艺考资讯,解读艺考最新政策、招生简章、录取规则。
← 解答在艺考中遇到的实际问题,全程提供艺考报考最佳方案。
点击查看更多与《2018年中央民族大学音乐学(音乐教育)专业校考合格名单》相关的信息
- 清华大学美术学院2024年校考成绩查
- 中央戏剧学院2024年本科招生校考专
- 北京电影学院2024年艺术类校考本科
- 南京艺术学院2024年本科招生艺术类
- 山东艺术学院2024校考成绩查询
- 2024年上海戏剧学院校考专业合格名
- 2024年中国美术学院本科招生校考复
- 浙江传媒学院2024年艺术类本科校考
- 北京印刷学院2024年艺术校考成绩查
- 广州美术学院公布2024年校考复试成
- 中国传媒大学2024年艺术类本科招生
- 西安美术学院2024年本科招生专业课
免责声明(二)免费转载出于非商业性学习目的,版权归原作者所有。如有内容、版权等问题请在30日内与本网联系。邮件:mkaocn#163.com (发邮件时请将#替换为@)
美考头条
全国艺术专业院校人气指数排名
排名
高校名称
人气指数






















